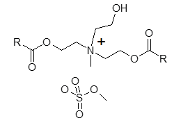
بیس (آسیلوکسی اتیل) هیدروکسی اتیل متیل آمونیوم متوسولفات (استرکوآت)- بر پایه اولئیک
بیس (آسیلوکسی اتیل) هیدروکسی اتیل متیل آمونیوم متوسولفات (استرکوات) یا ایراسافت O18 به عنوان یک سورفکتانت کاتیونیک با کف کم بر پایه اولئیک اسید شناخته می شود. این ماده با داشتن خواصی مانند نرم کنندگی، تسهیل جذب دوباره آب و کمک به اتوکشی آسان به عنوان ماده اصلی نرم کننده حوله و لباس در نرم کننده ها و صنایع نساجی مورد استفاده قرار می گیرد که استفاده از آن به دلیل فرم فیزیکی، آسان است و نیاز به فرآیند ذوب و گرمخانه ندارد.
حداقل میان سفارش: مخزن یک تنی
- ضد الکتریسیته ساکن
- سورفکتانت با کف کم
- ضد الکتریسیته ساکن
- سورفکتانت با کف کم
- ضد الکتریسیته ساکن
- سورفکتانت با کف کم
- نرم کننده
کاربردها و مصارف ایراسافت O18
- نرمکنندهها و شویندههای منسوجات: ایراسافت O18، به دلیل داشتن ویژگیهایی مانند نرم کنندگی، ضدالکتریسیته ساکن و تسهیل جذب دوباره آب در محصولات شستشو و نرم کنندههای حوله و لباس استفاده میشود. این ماده با ایجاد حس نرمی و صافی، باعث افزایش حس راحتی و کیفیت منسوجات شده و ظاهر آنها را بهبود میبخشد. این ماده به اتوکشی آسانتر و جذب دوباره آب کمک میکند و باعث زرد شدن پارچه نمیشود.استرکوات ها با خاصیت نرم کنندگی کاربرد بسیاری در تولید مواد شوینده نرم کننده حوله و لباس دارند
- صنایع نساجی: استفاده از این عامل نرم کننده و ضد الکتریسیته ساکن در فرایند پرداخت و رنگبری پارچه، به افزایش انعطاف پذیری و نرمی پارچه کمک میکند و باعث بهبود خصوصیات و افزایش کیفیت محصولات میشود.
ویژگی ها و مزایای ایراسافت O18
⇐ نرم کننده پارچه: ایراسافت O18، در محصولاتی مانند مایعات شستشو و نرم کنندههای منسوجات استفاده شده و کیفیت کلی، انعطاف پذیری، نرمی و صافی منسوجات را افزایش میدهد. این ماده معمولا به تنهایی مورد استفاده قرار نمیگیرد، این ماده خواص نرم کنندگی ایراسافت V18 را بهبود میبخشد.
⇐ ضد الکتریسیته ساکن: IRASOFT O18 به عنوان یک عامل ضد الکتریسیته ساکن، به کنترل بار الکتریکی و جلوگیری از ایجاد الکتریسیته ساکن کمک میکند. این خاصیت مانع از چسبیدن پارچه به پوست و جذب گرد و غبار میشود.
⇐ سازگاری و پایداری: ایراسافت O18، به دلیل سازگاری با طیف گستردهای از مواد، میتواند به راحتی در فرمولاسیونهای مختلف مورد استفاده قرار گیرد. این ماده به افزایش پایداری و عمر مفید محصولات کمک کرده و عملکرد ثابت آنها را در طول زمان تضمین میکند. این ماده باعث زرد شدن رنگ پارچه نمیشود.
⇐ سازگار با محیط زیست: استرکوآت با داشتن پایه گیاهی، قابلیت تجزیه پذیری در محیط زیست و سمیت کم به عنوان یک ماده سازگار با محیط زیست شناخته میشود.
| شکل ظاهری در 25 درجه سانتیگراد | مایع |
| ماده اکتیو(meq/g) | 1/15 – 0/95 |
| pH محلول 5%(در 50/50 آب + 2-پروپانول) | 3/5 – 2/0 |
| درصد باقی مانده خشک | 91/0 – 89/0 |
| حلال | اتانول – ایزوپروپانول |
برای دریافت رایگان فایل MSDS این محصول از لینک مقابل استفاده کنید:
برای دریافت رایگان فایل TDS این محصول از لینک مقابل استفاده کنید:
برای دریافت رایگان فایل کاتالوگ این محصول از لینک مقابل استفاده کنید:

